Zwischenfruchtmischungen bringen Vorteile

im Vergleich zur Brache
 
  • + 11 % Silomaisertrag in Trockenjahren
  • + 11,5 % Bodenwasser zur Maisaussat
  • + 19 % Wasserstabile Bodenaggregate
  • - 80 % Nährstoffauswaschung
  • + 4 % Winterweizenertrag

 

Dies sind, in Rechenbeispielen dargestellt, einige der Ergebnisse des wissenschaftlichen Projektes CATCHY*.

 Über neun Jahre (seit 2015) wurden Einzelkomponenten als Reinsaaten und Zwischenfruchtmischungen mit einer Schwarzbrache in Fruchtfolgeversuchen verglichen und ihre Wirkung untersucht.  Es zeigte sich, dass die gezielte Kombination von Arten in Mischungen zu mehr Resilienz im Pflanzenbausystem führt.

Prof. Dr. Matthias Westerschulte, Teamleiter Biodiversität im Projektzeitraum, hat CATCHY seitens der DSV mitbetreut

Die Ergebnisse zusammengefasst

Zwischenfrüchte verbessern nachweislich die Bildung wasserstabiler Bodenaggregate (Ø+19 %). Mischungen verschiedener Arten liefern hier noch bessere Optionen als Einzelkomponenten. Die damit verbesserte Bodenstruktur ist die Grundlage für einen gesunden Boden und den darauf stattfindenden Ackerbau. Ebenso kann der Zwischenfruchtanbau langfristig, bei kontinuierlicher Integration in die Fruchtfolge, den Humusgehalt steigern. Bedingt durch das günstige C/N-Verhältnis der Spreu zeigte in den CATCHY-Versuchen die 12er-Mischung (TerraLife®-MaisPro) das höchste Potenzial.
Alle Bodenfunktionen werden mikrobiell beeinflusst. Je diverser das Mikrobiom (Gesamtheit der Mikroorganismen) aufgestellt ist, desto stabiler kann das Agrarökosystem gegenüber Störungen, wie z.B. extreme Witterung, sein. Im CATCHY-Projekt konnte gezeigt werden, dass jede Pflanzenart ein individuelles Mikrobiom entwickelt. Eine Kombination unterschiedlicher Arten in Mischungen kann entsprechend, in Abhängigkeit von Standort und Jahr, eine größere Diversität des Mikrobioms bewirken. Es spielt folglich eine Rolle, ob der Boden brach liegt, Zwischenfrüchte in Reinsaaten oder in Mischungen angebaut werden.
 
Auch konnte belegt werden, dass Zwischenfrüchte das Mikrobiom der folgenden Hauptkultur beeinflussen: Beispielsweise wurden verschiedene Zwischenfruchtarten und Mischungen angebaut und die Wurzeln des darauf folgenden Maises untersucht. Die meisten gesundheitsfördernden Pilze wurden nach Phacelia in Reinkultur und nach der Mischung TerraLife®-MaisPro gefunden. Schädliche Fusariumpilze traten am häufigsten nach Brache oder Senf auf.
 

Erfolgreiche Ernten beginnen mit dem Bodenleben

 

Alle Pflanzen leben in Gemeinschaft mit unzähligen Mikroorganismen. Deren Gesamtheit wird als Mikrobiom bezeichnet. Die Mikroorganismen helfen der Pflanze bei der Nährstoffversorgung, der Immunabwehr und Stressbewältigung. Zwischenfrüchte sind ein wirksames Instrument, um die Zusammensetzung des Mikrobioms in landwirtschaftlichen Böden positiv zu beeinflussen. Je höher die Vielfalt an Mikroorganismen, die eine Pflanze im Boden vorfindet, umso vorteilhafter ist es für die Nährstoffaufnahme und Pflanzengesundheit. Ziel intelligenter Pflanzengesellschaften ist es, die verschiedenen Mikroorganismen im Boden gut zu ernähren.

Die im weiteren Verlauf dargestellten Box-Plot-Grafiken zeigen Ergebnisse des CATCHY-Versuchs zu Untersuchungen der Vielfalt der Bakterien sowie der Vielfalt der Pilze nach Zwischenfrüchten im Mais. Die Boxplots sind wie folgt zu lesen:

 asset_image

 

 

Das bedeutet für die nachfolgenden Box-Plot-Grafiken: je kompakter die Box, desto geringer ist die Streuung. Ist ein Boxplot also weit oben in der Y-Achse angesiedelt und kurz (Maximum und Minimum nicht weit auseinander), besteht eine große Diversität der Bodenbakterien und -pilze. Signifikanzen werden in den folgenden Grafiken durch Sterne dargestellt.

 

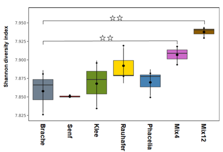
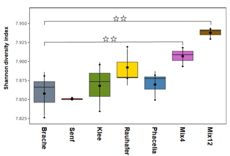
Vielfalt der Bakterien

TerraLife® macht den Unterschied

Im Vergleich zur Brache, Reinsaat (Klee, Senf, Rauhafer und Phacelia) und Einfachmischung (Mix4) führte die artenreiche Zwischenfruchtmischung TerraLife®-MaisPro (Mix12) im CATCHY-Versuch zu einer signifikant höheren Vielfalt der Bakterien im Boden. So werden das Wachstum, die Widerstandsfähigkeit und der Ertrag der Hauptkultur gefördert.

Abb. 1: Vielfalt der Bakterien im Boden nach Zwischenfrüchten im Mais 

Quelle: CATCHY-Broschüre, Reinhold-Hurek et al. 2024; Der Shannon-Diversity-Index ist ein Maß aus der Ökologie, das die biologische Vielfalt in einem Lebensraum berechnet.

 

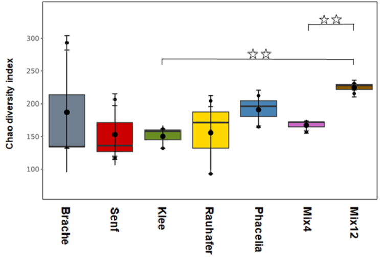
Vielfalt der Pilze

Auch Pilze gehören zu einem gesunden Mikrobiom

Neben z. B. den Mykorrhiza-Pilzen besiedeln viele verschiedene Arten die Wurzeln einer Pflanze. Auch die Vielfalt nützlicher Wurzelpilze wird durch Zwischenfrüchte positiv beeinflusst. Im CATCHY-Versuch war sie nach Anbau der artenreichen Zwischenfruchtmischung TerraLife®-MaisPro (Mix12) in den Wurzeln der Folgefrucht Mais am höchsten. Der Vorteil für die mikrobielle Gemeinschaft ist damit durch den Anbau einer vielfältigen Zwischenfrucht signifikant höher, im Vergleich zur Gründüngung durch Zwischenfrüchte in Reinsaat oder einer vegetationsfreien Brache.

Abb. 2: Vielfalt der Pilze nach Zwischenfrüchten im Mais

Quelle: CATCHY-Broschüre, Reinhold-Hurek et al. 2024; Der Chao-Diversity-Index ist ein statistisches Maß aus der Ökologie, um die tatsächliche Artenzahl (Artenreichtum) in einem Lebensraum zu schätzen. 

 
Zwischenfrüchte tragen wesentlich zur Schließung der Nährstoffkreisläufe im Ackerbau bei. Zu berücksichtigen ist dabei, dass einzelne Pflanzenarten die unterschiedlichen Nährstoffe sehr spezifisch mobilisieren können. Wesentliche Faktoren hierbei sind die Biomassebildung, die Wurzelarchitektur sowie spezifische Mobilisierungsmechanismen (z. B. das Ausscheiden spezifischer organischer Säuren oder Enzyme über die Wurzelexsudate). Diese Eigenschaften können in Mischungen gezielt kombiniert werden, um das Nährstoffmanagement zu optimieren. Dies führt zu einer stabileren Biomassebildung und Nährstoffaneignung in unterschiedlichen Umwelten.
 
Die langjährigen Fruchtfolgeversuche haben gezeigt, dass unter Zwischenfrüchten die Nährstoffauswaschung zwischen 80 - 90% geringer ist, im Vergleich zur Brache. Außerdem wurde festgestellt, dass die Nährstofffreisetzung aus der Zwischenfrucht nicht nur in der Folgekultur, sondern über organische Nährstoffdepots im Boden auf die gesamten Fruchtfolge erfolgt! Dadurch ergeben sich Einsparpotenziale von Düngemitteln im gesamten Anbausystem.
„Stehlen Zwischenfrüchte meiner Hauptkultur nicht nur das Wasser?“, fragen sich viele Landwirte. Nein, pauschal ist diese Annahme nicht richtig. Die Projektergebnisse belegen, dass mit Zwischenfrüchten der standortspezifische Wasserhaushalt aktiv gesteuert werden kann.
 
Abfrierende Zwischenfrüchte können der folgenden Hauptkultur mehr Wasser zur Verfügung stellen als eine Brache (+11,3 % Bodenwasservorrat zur Maisaussaat) und sind somit insbesondere bei zunehmenden Frühsommertrockenheiten vorteilhaft. In den Trockenjahren während des Projekts führte dieser Effekt zu Mehrerträgen von bis zu +11 % bei Silomais.
 
Wichtig zu berücksichtigen ist, dass nicht abfrierende Zwischenfrüchte auch über Winter und insbesondere bei wieder eintretender Vegetation im Frühjahr Wasser entziehen. Auf Trockenstandorten kann dies zu Wassermangel bei der folgenden Hauptkultur führen. Auf feuchten Standorten hingegen kann dies gezielt genutzt werden, um eine erfolgreiche Frühjahresbestellung der Hauptkultur sicher zu stellen.
Aus den beschriebenen, vielfältigen Einflussfaktoren ergibt sich auch eine komplexe Wirkung von Zwischenfrüchten auf die Erträge der Hauptkulturen. Bei richtigem Management ist diese positiv. Dabei sind die kurzfristigen Ertragswirkungen auf die direkte Folgekultur eher niedrig einzuschätzen (0,8 % Mehrertrag im folgenden Silomais). Allerdings wurde bewiesen, dass es Effekte über die Folgekultur hinaus auf die gesamte Fruchtfolge gibt: Im Winterweizen nach Silomais ergaben sich in den Langzeitversuchen Ertragssteigerungen von 1 bis 4 %.

Versuchsstandorte:       

Asendorf, Niedersachsen

Triesdorf, Bayern

Versuchsaufbau:            

- Standort-gespiegelte und randomisierte Exaktversuche

- Zwei Fruchtfolgen in zwei Wiederholungen mit je einem Jahr versetztem Fruchtfolge-Startpunkt

- Versuchsfläche: 1,2 ha

- Parzellengröße: 9x9 m

Fruchtfolge:                     

 A) Winterweizen (WW), Zwischenfrucht (ZF), Silomais (SM)

 B) WW, ZF, SM, WW, ZF, Ackerbohne (AB)

Versuchsvarianten:       

Brache, Gelbsenf, Alexandrinerklee, Phacelia, Rauhafer,

Mix4 (Gelbsenf, Alexandrinerklee, Phacelia, Rauhafer),

Mix12 (Felderbse, Sorghum, Phacelia, Öllein, Pannonische Wicke, Rettich, 

Ramtillkraut, Sonnenblume, Leindotter, Perserklee, Schweden- und Inkarnatklee)

Das CATCHY-Projekt hat das Verständnis für die vielfältigen Vorteile von Zwischenfrüchten im Ackerbau deutlich verbessert. Dabei sind die Eigenschaften und Wirkungen von unterschiedlichen Pflanzenarten und deren Gesellschaften sehr komplex. Bei Betrachtung der Gesamtheit aller Parameter zeigt sich, dass die gezielte Kombination von Arten in Mischungen zu mehr Resilienz im Pflanzenbausystem führt. Zur Realisierung der vielfältigen Vorteile ist eine kontinuierliche Integration der richtigen Zwischenfrüchte in die Fruchtfolge essenziell.
 
 

*CATCHY-Projekt Infos und Hintergründe

Der Effekt auf die Fruchtfolge durch eine Zwischenfrucht ist nicht leicht zu messen. Mit dem Projekt CATCHY, sind mit aufwändigen Forschungsmethoden, neue Erkenntnisse über die Wirkung einer Zwischenfrucht entstanden.
Das Zwischenfruchtprojekt CATCHY ist ein Teil der Initiative „Boden als nachhaltige Ressource für die Bioökonomie – BonaRes“ und wurde vom Bundesministerium für Bildung und Forschung (BMBF) 2015 ins Leben gerufen. Über insgesamt neun Jahre wurde in zwei unterschiedlichen Fruchtfolgen untersucht, wie sich Zwischenfrüchte auf den Boden und dessen Biologie und damit auf die Erträge der Hauptfrüchte auswirken. Neben der DSV sind an dem Projekt Mikrobiologen aus Bremen, Bodenkundler aus Hannover, Pflanzenernährer aus Gatersleben, Pflanzenbauer aus Triesdorf und Sozioökonomen aus Gießen beteiligt. Die DSV bringt ihre langjährige Erfahrung mit Zwischenfrüchten und der Zusammenstellung von intelligenten Mischungen für den Zwischenfruchtanbau ein. 

Zur Projekthomepage

service

Fachartikel

Die Wirkung von Zwischenfrüchten auf die BodenstrukturArtikel 

www.magazin-innovation.de
service

Fachartikel

Die Wirkung von Zwischenfrüchten auf die BodenstrukturArtikel 

www.magazin-innovation.de

Mehr zum Thema Boden

360° Plattform zum Thema Boden

weiter

360° Plattform zum Thema Boden

weiter